ECUACIÓN DE LA RECTA- PUNTO A PUNTO.
- Conocer los dos puntos por donde pasa la recta.
- Hallar el valor de la pendiente.
. Utilizar la siguiente fórmula para hallar la ecuación de la recta:
VÍDEO EXPLICATIVO.
EJEMPLOS.
1) A(4,3); (6,-5)
Solución.
Gráfica:
2) A(2,3); B(6,-5)
Solución.
Gráfica.
3) A(3,-6); B(-6,3)
Solución.
Gráfica.
4) A(-2,0); B(2,6)
Solución.
Gráfica.
5) A(5.-6); B(4,0)
Solución.
Gráfica.
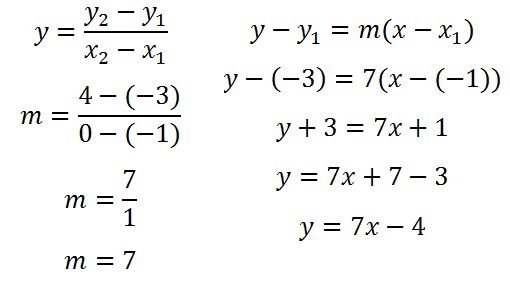
6) A(-1,-3); B(0,4)
Solución.
Gráfica.
EJERCICIOS PARA RESOLVER.
1)A(2,1) ; B(-2,3)
2) A(0,6); B(1,2)
3) A(1,6) ; B(1,-3)
4) A(4,-3) ; B(3,-1)
5) A(7,5) ; B(4,1)













No hay comentarios:
Publicar un comentario