martes, 30 de agosto de 2011

Ecuación de la hipérbola con centro (h,k)

DEMOSTRACIÓN.

FÓRMULA.


VIDEO EXPLICATIVO.

EJEMPLO.  Encuentre el centro, los vértices, los focos y las asíntotas de la hipérbola

Solución.

Gráfica.




EJERCICIOS PARA RESOLVER.

En los problemas del 1 al 5, hallar la ecuación de la hipérbola según las indicaciones dadas.

1. Centro( 2,-1); Foco (2,-3), vértice (2,-2)
2. Centro(3,2) ; Foco (3,0), vértice en (3,3)
3. Focos (2,-4) y (2,2), un vértice (2,-3).
4. Vértices (5,2) y (-1,2) ; un foco (7,2)
5. Centro (-5,3); vértice (-2,3) pasando por  (3+2.23,-5)

Ecuación de la hipérbola con centro en el orígen.

Demostración.


Ecuación de la hipérbola con centro en el orígen.


VIDEO EXPLICATIVO.

EJEMPLO. Encuentre los vértices, los focos y las asíntotas de la hipérbola 

Solución.


Gráfica. 


Ejercicios para resolver.

En los problemas del 1 al 5 , encuentre una ecuación de la hipérbola que satisfaga las condiciones dadas.

1. Focos (4,0), a=2
2. Focos (+-3,0), b= 1
3. Focos (0,+-5), un vértice en (0,-3)
4. Focos(0,+-6) y la longitud del eje transverso 8.
5. Focos (0,+-2) y la longitud del eje transverso 3.




LA HIPÉRBOLA.


LA HIPÉRBOLA.

DEFINICIÓN. La hipérbola es el conjunto de todos los puntos P en el plano tales que el valor absoluto de la diferencia de las distancias entre P t dos puntos fijos F1 y F2 es constante  Los dos puntos fijos se llaman focos. El punto medio del segmento que une los focos se llama centro.

ELEMENTOS DE LA HIPÉRBOLA.

APLICACIONES DE LA HIPÉRBOLA.




Ecuación de la parábola con centro (h,k)


VIDEO EXPLICATIVO.



EJEMPLO. Encuentre la ecuación en forma estándar de l parábola con vértice en (-3,-1) y directriz y=2.

Solución.

Gráfica.

Ejercicios para resolver.

En los problemas del 1 al 5, encuentre la ecuación de la parábola según las indicaciones dadas:

1. Foco (3,2) y directriz en y=-2
2. Foco (-1,3) y directriz x=1
3.Vértice en (2,3) y directriz x=3
4. Foco (1,6) y vértice en (1,3)
5. Vértice en (3,4) y directriz x=-3

martes, 23 de agosto de 2011

Ecuación de l parábola con centro en el orígen.

DEMOSTRACIÓN.



Fórmulas.


VIDEO EXPLICATIVO.



EJEMPLO.

1. Encuentre le ecuación en forma estándar de la parábola con directriz y=2 y foco (0,-2). Grafique la parábola.

Solución.


Ejercicios para resolver.

En los problemas 1 al 5, encuentre la ecuación de la parábola que satisfaga las condiciones dadas:

1. Foco (3,0) y directriz x=-3.
2. Foco (4/3,0) y vértice (0,0)
3. Vértice (0,0) y directriz y=3/2
4. Vértice (0,0), eje a lo largo del eje x, pasa por (1,-4)
5. Vértice (0,0), directriz x=-2

lunes, 22 de agosto de 2011

LA PARÁBOLA.

Definición. Una parábola se define como el conjunto de todos los puntos P en el plano que están a la misma distancia de un punto fijo F y de una lpinea fija D. El punto F se llama foco de la parábola y la línea D es una directriz. Una parábola es entonces, el conjunto de puntos para los cuales :



Elementos de la parábola.


Aplicación de la parábola 
Las aplicaciones de las parabolas son basicamente aquellos fenomenos en donde nos interesa hacer conveger o diverger un haz de luz y sonido principalmente. Por ejemplo las antenas parabolicas, las lamparas sordas, los faros de los autos. Se pueden construir, por la misma propiedad de las parabolas, hornos solares. Los microfonos de ambiente en algunos deportes tambien tienen forma paraboloidal.

Las parábolas tienen una propiedad  Si se coloca una bombilla encendida en el foco de la parábola, algunos haces de luz serán reflejados por la parábola y todos estos rayos serán perpendiculares a la directriz. Esta propiedad es usada en las lámparas sordas o en los faros de los automóviles estos están formados por un paraboloide (parábola en 3 dimensiones) de espejos y una bombilla en el foco de este paraboloide. En algunas lámparas se puede mover la bombilla del foco y los haces de luz divergeran o convergerán. Este principio funciona también en las antenas parabólicas. Un satélite envía información a la Tierra, estos rayos serán perpendiculares a la directriz por la distancia a la que se encuentra el satélite. Al reflejarse en el plato de la antena (blanca, casi siempre) los rayos convergen en el foco en donde se encuentra un receptor que decodifica la información. También en los telescopios se usa esta propiedad.

En el siglo XVI Galileo demostró que la trayectoria de un proyectil que se dispara al aire formando un ángulo con la horizontal es una parábola. Desde entonces, las formas parabólicas se han usado para diseñar fanales de automoviles, telescopios reflectores y puentes colgantes.



jueves, 18 de agosto de 2011

Ecuación de la elipse con centro (h,k)

FÓRMULA.



VIDEO EXPLICATIVO.


EJEMPLO. Encontrar los focos y los vértices de la elipse cuya ecuación es 


Solución.




Gráfica.




EJERCICIOS PARA RESOLVER.

En los problemas del 1 al 3, encuentre el centro los focos y los vértices de la elipse dada.

1. 
2. 
3. 
En los problemas 4 y 5, encuentra una ecuación de la elipse que cumpla las condiciones dadas.

4. Centro (-2,2), un foco en (-2,4), a =6.
5. Extremos del eje mayor en (4,2) y (4,13), un foco en (4,4).


martes, 16 de agosto de 2011

Ecuación de la elipse con centro en el orígen.


DEMOSTRACIÓN.



VIDEO EXPLICATIVO.


EJEMPLO. Encontrar los vértices y los focos de la elipse cuya ecuación es


Solución.



Gráfica.




EJERCICIOS PARA RESOLVER.

1. Hallar la ecuación de la elipse con vértices (0,+-2) y focos en (0,+-1)
2. Hallar el centro, los focos y los vértices de la elipse cuya ecuación es

3.  Hallar la ecuación de la elipse con V1(0,8) y V2(0,-8) ; y  F1(0,2) y F2(0,-2).
4.  Hallar el centro, los focos y los vértices de la elipse cuya ecuación es 

5. Un foco en (2,0), centro en (0,0) y b =3.


ELIPSE.

LA ELIPSE.




Definición.  Es el conjunto de todos los puntos P en un plan tal que la suma de las distancias entre P y dos puntos fijos F1 Y F2 es constante. Los dos puntos fijos F1 Y F2 se llaman focos. El punto medio del segmento de recta que une los focos se llama centro.


ELEMENTOS DE UNA ELIPSE.



lunes, 8 de agosto de 2011

Ecuación de la circunferencia con centro (h, k)

                                                                                                                                                                                                                                                                                                                                                                                      ECUACIÓN DE LA CIRCUNFERENCIA CON CENTRO (H,K)
FORMA CANÓNICA.

FORMA GENERAL.



FÓRMULAS PARA HALLAR LA ECUACIÓN DE LA CIRCUNFERENCIA.


VÍDEO EXPLICATIVO.


EJEMPLO. Halle la ecuación de la circunferencia con centro en C(4,3) que pasa por el punto (1,4)

Solución.



Gráfica.




EJERCICIOS PARA RESOLVER.

1. Halle el centro y el radio de la circunferencia cuya ecuación es : 
2. Hallar la ecuación de la circunferencia con centro (-9,-4) y radio de 3/2.
3. Hallar la ecuación de la circunferencia con centro en (5,6) y pasa por el punto (-3,7).
4, Halle el centro y el radio de la circunferencia cuya ecuación es 

5. Halle la ecuación de una circunferencia con centro en (-3,2) y radio 6.




Ecuación de la circunferencia con centro en el orígen.

ECUACIÓN DE LA CIRCUNFERENCIA CON CENTRO EN EL ORÍGEN. 



Para hallar el radio, utilizamos la fórmula de la distancia:



VIDEO EXPLICATIVO.


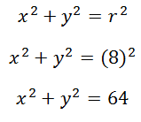
EJEMPLO.

1. Hallar la ecuación de la circunferencia con centro en el orígen y radio de 8 cm.

SOLUCIÓN.


Gráfica.



EJERCICIOS PARA RESOLVER.

1. Halle la ecuación de la recta con centro en el orígen y un radio de 15 cm.
2. Halle la ecuación de la recta con centro en (0,0) y pasa por el punto (-5,3).
3. Determine los puntos por donde pasa la circunferencia 



4. Halle la ecuación de la recta con centro en el orígen y un radio de 9cm.
5. Halle la ecuación de la recta con centro en (0,0) y pasa por el punto (-3,-2).



viernes, 5 de agosto de 2011

CIRCUNFERENCIA.

DEFINICION. Es un lugar geométrico de un conjunto de infinitos puntos que equidistan de un punto situado en el centro.

ELEMENTOS DE UNA CIRCUNFERENCIA.


PROPIEDADES BÁSICAS DE LA CIRCUNFERENCIA.

1. Radio trazado al punto de tangencia es perpendicular a la recta tangente.



2. Radio o diámetro perpendicular a una cuerda la biseca (divide en dos segmentos congruentes).

3. Cuerdas paralelas determinan arcos congruentes entre las paralelas.



4. A cuerdas congruentes en una misma circunferencia les corresponden arcos congruentes.


POSICIONES RELATIVAS DE DOS CIRCUNFERENCIAS.

-Circunferencias concéntricas. Tienen el mismo centro.

-Circunferencias exteriores. No tienen ningún punto en común.



. Circunferencias Tangente exteriores. Tienen un punto en común que es el de la tangente.



-Circunferencias tangentes interiores. Tienen un punto en común que es la de Tangencia.


. Circunferencias Secantes. Tienen dos puntos comunes que son las intersecciones.



- Circunferencias Ortogonales. Los radios son perpendiculares en el punto de intersección.



- Circunferencias interiores. No tienen puntos comunes.



TEOREMA DE PONCELET.
En todo triángulo rectángulo la suma de longitudes de los catetos es igual a la longitud de la hipotenusa más el doble del inradio.



TEOREMA DE PITOT.
En todo cuadrilátero circunscrito a una circunferencia, se cumples que la suma de longitudes de los lados opuestos son iguales.


ÁNGULOS DE LA CIRCUNFERENCIA.

- Medida del ángulo central. Es igual a la medida del arco que se opone.


. Medida del ángulo interior. Es igual a la semisuma de las medidas de los arcos opuestos.


- Medida del ángulo inscrito. Es la mitad de la medida del arco opuesto


- Medida del ángulo semi-inscrito. Es igual a la medida del arco opuesto. 

- Medida del ángulo ex-inscrito. Es igual a la metad de la medida del arco ABC. 


ANGULOS EXTERIORES. Son tres casos:

* Medida del ángulo formado por dos rectas tangentes.  Es igual a la semidiferencia de las medidas de los arcos opuestos.


* Medida del ángulo formados por dos rectas secantes.  Es igual a la semi-diferencia de los arcos opuestos.

*Medida del ángulo formado por ua recta tangente y otra secante : Es igual a la semidiferencia de los arcos opuestos.